Р.Ю. Митрофанов,
ИПХЭТ СО РАН, Бийск,
В.П. Севодин,
Бийский технологический институт (филиал) Алтайского государственного технического университета им. И.И. Ползунова, Россия
ПЭТФ широко используется для изготовления волокон, преформ, пленок, композиционных материалов. Значительная доля выпускаемого полимера расходуется на изготовление различной упаковки для жидкостей, порошков, паст и т.д. Между тем с ростом объемов производства полимера увеличивается количество технологических и бытовых отходов этого полимера. Поэтому задача его утилизации становится все более актуальной.
Согласно прогнозной оценке намерений предприятий и при условии их осуществления к 2008 г. мощности по выпуску ПЭТФ в России должны увеличиться в 9,5 – 12,5 раз и составить от 502,6 до 656,6 тыс. т в год. Новые мощности планируют ввести в строй фирмы «Полиэф» (120 тыс. т), Retal Industries (154 тыс. т), «Завод новых полимеров Сенеж» (180 тыс. т). Кроме того, заявлено о строительстве завода по производству ПЭТФ в Калининграде (150 тыс. т).
К сожалению, механические способы не решают проблему утилизации отходов ПЭТФ, так как полученные в результате гранулят или крошка являются лишь потенциальным сырьем и для получения конечного продукта должны быть подвергнуты физико-химической обработке, при которой свойства вторичного материала ухудшаются.
При химической переработке решаются, в основном, задачи рецикла мономеров, к чистоте которых предъявляются повышенные требования, что ведет к дополнительным затратам.
Технологические отходы ПЭТФ – это ценный продукт, из которого могут быть регенерированы исходные мономеры. Отходы можно расщеплять этиленгликолем или его парами при температуре кипения этиленгликоля. Расщепление отходов водой до терефталевой кислоты может быть проведено в присутствии серной, азотной или фосфорной кислоты в качестве катализатора или щелочным раствором с концентрацией 5–7 % и гидромодуле 1:(8,5–7).
Наиболее часто для регенерации диметилтерефталата используют метод метанолиза, при котором выход диметилтерефталата достигает 80 % при следующих условиях: температура – 180°С, давление 2,5–2,8 МПа (25–28 ат), время реакции 2–3 ч.
Следует заметить, что разработан новый способ переработки ПЭТФ-отходов с использованием суперкритической воды. Гидролиз ПЭТФ протекает за 30 мин при температуре 350–400 °С и давлении 25–30 МПа. Преимущество разработанного способа перед уже известными – метанолизом и гликолизом – заключается в простоте и небольшой продолжительности процесса.
После реализации любого из описанных процессов расщепления отходов получают мономеры, часто требующие дополнительной очистки.
Рассмотренные технологии весьма разнообразны. Но далеко не все из них применимы к отходам пищевой тары. Многие из данных технологий позволяют перерабатывать только незагрязненные технологические отходы. К тому же применяемые в этом случае установки сложны в эксплуатации и ориентированы на переработку большого объема отходов, оставляя незатронутой утилизацию пищевой тары, которая, как правило, очень сильно загрязнена.
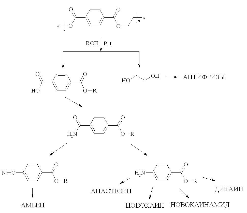
Авторы попытались взглянуть на ту часть ПЭТФ-отходов, которая в силу большой загрязненности не может быть утилизирована в виде полимера, как на источник индивидуальных химических соединений пригодных для синтеза лекарственных средств. На какой-то период времени (время жизни полимера на рынке) такой подход вполне правомерен. Иллюстрацией этого решения проблемы утилизации ПЭТФ служит приведенная ниже схема (см. рис.).
В последние годы опубликован ряд работ, в которых предлагается ПЭТФ-отходы подвергать деполимеризации, а терефталевую кислоту (ТФК) использовать в синтезе различных производных, имеющих коммерческое значение. Одним из таких продуктов является диамид терефталевой кислоты – мономер для синтеза полиамидов различного назначения. Его очистка намного проще, чем очистка диэфиров терефталевой кислоты и самой терефталевой кислоты. Самым известным из полиамидов, выпускаемых в мире большим тоннажем, является полипарафенилентерефталамид (кевлар) – синтетическое волокно, обладающее высокой прочностью. Механические свойства этого материала делают его пригодным для изготовления пуленепробиваемых жилетов. Кевлар находит и более мирное применение – его используют для изготовления нитей, применяемых для армирования чулочно-носочных изделий и тросов.
Кевлар относится к классу амидов, классическим способом получения которых является образование связи между карбонильным углеродом и аминным азотом. Синтез обычно осуществляется путем обработки аммиака, первичного или вторичного амина ацилирующим агентом с образованием незамещенного, моно- или N,N-дизамещенного амида.
Для получения диамида терефталевой кислоты наиболее привлекательными исходными веществами выглядят ТФК и диэтиловый эфир терефталевой кислоты (ДЭТ).
В 1990 г. был запатентован способ утилизации отходов ПЭТФ, в результате которого получают различные мономеры на основе диамида терефталевой кислоты [1]. Процесс основан на обработке отходов ПЭТФ в этиленгликоле жидким аммиаком при 120–180 °С. Выход диамида составляет 90 %, однако работа с жидким аммиаком под давлением усложняет аппаратурное оформление, а регенерация этиленгликоля сопряжена с некоторыми трудностями.
Предлагаемая в настоящей работе периодическая схема переработки ПЭТФ-тары позволяет перерабатывать полигонный ПЭТФ без предварительной тщательной мойки материала. Все процессы проводятся в качающемся автоклаве (фото 1, 2) спроектированном В.А. Куничан и Г.И. Севодиной.


Реактор недорог, прост в изготовлении, представляет собой цилиндр длиной 110 см с внутренним диаметром 6,5 см. Ось качания находится в области геометрического центра цилиндра. Конструкция автоклава позволяет изготавливать его различной емкости. Реактор способен поддерживать температуру до 400°С и давление до 250 атм. Данная конструкция позволяет эффективно проводить реакции в гетерофазных системах [2].
Подготовка тары для деструкции заключается в грубом измельчении и ополаскивании горячей водой, причем материал не подвергался сортировке по цветам.
Ранее было установлено, что ДЭТ может быть получен с достаточно высоким выходом, этанолизом ПЭТФ-тары. В качестве деструктирующего агента используют концентрат головной фракции (КГФ) – отход спиртового производства с содержанием спирта 86 % [3], ТФК получают гидролизом ПЭТФ-тары водой при 280–285 °С [5].
В ходе экспериментов по получению диамида ТФК было установлено, что для ацилирования аммиака выгоднее использовать ТФК-сырец, так как ee этерификация и очистка увеличивают расходы и трудоемкость, а выход диамида повышается незначительно, вследствие протекания конкурирующей реакции гидролиза. Кроме того, положительным отличием предлагаемого способа утилизации можно считать то, что диамид выкристаллизовывается из реакционной массы в достаточно чистом виде, даже если на стадии ацилирования аммиака была использована ТФК-сырец, полученная гидролизом ПЭТФ без сортировки тары по цвету.
Реакцию проводят в автоклаве при соотношении ТФК : водный аммиак = 1:4. По завершении реакции диамид отфильтровывают, а фильтрат, представляющий собой гомогенный водный раствор аммониевой соли ТФК и терефталамовой кислоты, дополнительно насыщают газообразным аммиаком при охлаждении и снова загружают в автоклав для проведения реакции. С учетом такого способа проведения процесса можно провести конверсию ТФК в диамид с выходом, близким к теоретическому.
Литература
1. Pat. 4.973.746 US, Appl. № 261,800 Process for converting pet scrap to diamine monomers. /K.P. Blackmon, D.W. Fox, S.J. Shafer. 27.11.1990.
2. Севодина Г.И. Исследование гетерогенных процессов в качающихся автоклавах: Дис. канд. техн. наук: 05.17.08 / Г.И. Севодина. – Бийск, 1998.
3. Митрофанов Р.Ю. Переработка полигонного ПЭТФ: Способ получения диэтилового эфира терефталевой кислоты /Р.Ю. Митрофанов, П.Н. Бочкарев, В.В. Будаева // Сотрудничество для решения проблемы отходов: Материалы 3-й межд. науч.-практ. конф. г. Харьков. – Изд-во «Независимое агентство экологической информации», Харьков, 2006. С. 181–182.
4. Митрофанов Р.Ю. Химический способ переработки полигонного полиэтилентерефталата / Р.Ю. Митрофанов, П.Н. Бочкарев, В.П. Севодин // Прикладная химия. 2007. Т. 80. Вып. 6. С. 1017–1019.




Comments (0)
Twitter
Facebook
Pinterest
E-mail